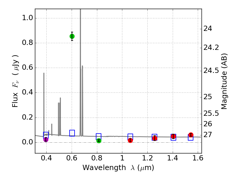
RXS0603+42-S ACS+IR detection object #7880

Color images and BPZ results
Catalog: 7880.cat
Black segments are analyzed here.   Roll mouse over color images to view segments.
Best viewed in a wide browser window (1200 pixels or more).   Download SED & P(z) plots to view larger versions.
In P(z) plots: Yellow lines mark the cluster redshift z = 0.228,  

Object #7880   x,y = (2101, 1450)   RA, Dec = (06:03:28.560, 42:08:53.16) = (90.86900, 42.14810)   BPZ = 0.022 [0.010--2.859]   type = 11.00 (SB11_A_0_l)   stellarity = 0.75   chisq2 = 136.40   ODDS = 0.87   z_cluster = 0.228