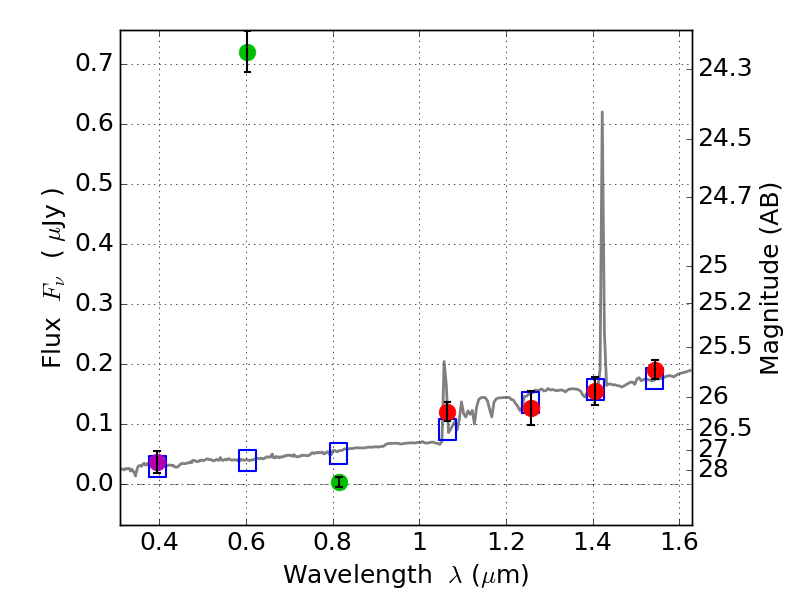
RXS0603+42-S ACS+IR detection object #7853

Color images and BPZ results
Catalog: 7853.cat
Black segments are analyzed here.   Roll mouse over color images to view segments.
Best viewed in a wide browser window (1200 pixels or more).   Download SED & P(z) plots to view larger versions.
In P(z) plots: Yellow lines mark the cluster redshift z = 0.228,  

Object #7853   x,y = (2100, 1466)   RA, Dec = (06:03:28.584, 42:08:54.24) = (90.86910, 42.14840)   BPZ = 1.842 [1.375--2.582]   type = 8.00 (SB1_B10)   stellarity = 0.75   chisq2 = 92.81   ODDS = 0.38   z_cluster = 0.228