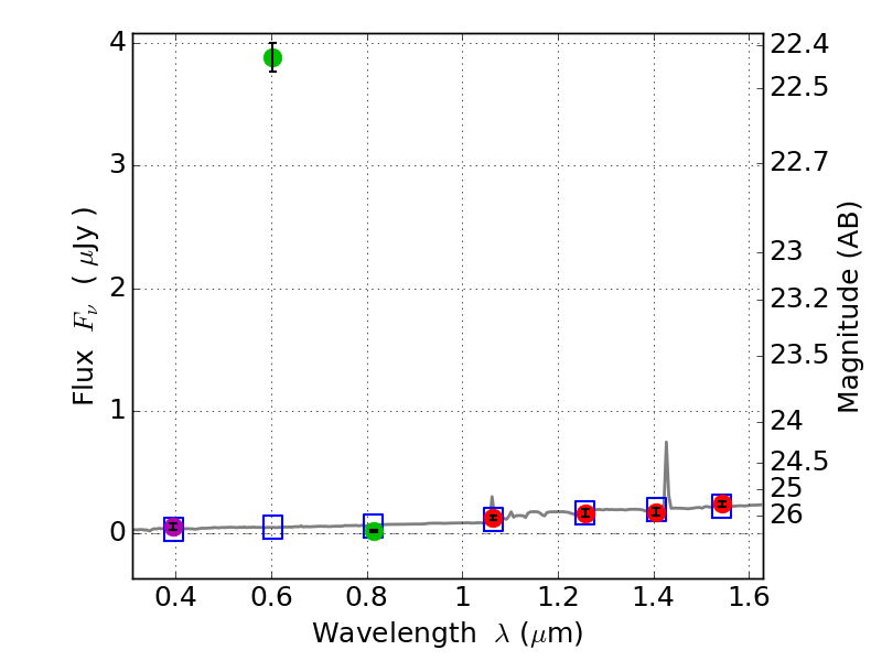
RXS0603+42-S ACS+IR detection object #7852

Color images and BPZ results
Catalog: 7852.cat
Black segments are analyzed here.   Roll mouse over color images to view segments.
Best viewed in a wide browser window (1200 pixels or more).   Download SED & P(z) plots to view larger versions.
In P(z) plots: Yellow lines mark the cluster redshift z = 0.228,  

Object #7852   x,y = (2107, 1455)   RA, Dec = (06:03:28.536, 42:08:53.52) = (90.86890, 42.14820)   BPZ = 1.848 [1.344--2.588]   type = 7.90 (SB1_B10 - Scd_B10)   stellarity = 0.94   chisq2 = 268.50   ODDS = 0.31   z_cluster = 0.228