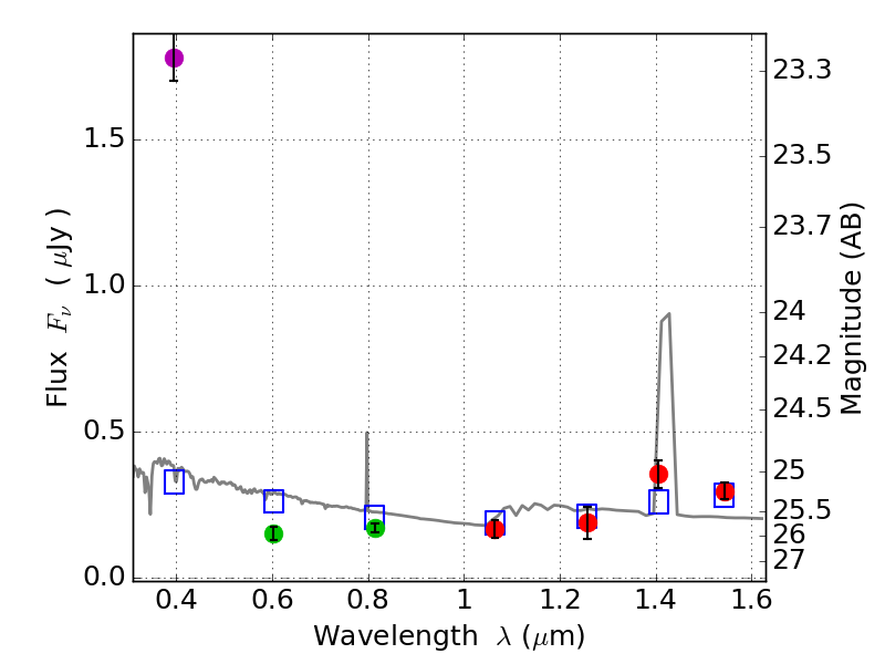
RXS0603+42-S ACS+IR detection object #7809

Color images and BPZ results
Catalog: 7809.cat
Black segments are analyzed here.   Roll mouse over color images to view segments.
Best viewed in a wide browser window (1200 pixels or more).   Download SED & P(z) plots to view larger versions.
In P(z) plots: Yellow lines mark the cluster redshift z = 0.228,  

Object #7809   x,y = (3559, 1396)   RA, Dec = (06:03:20.712, 42:08:49.92) = (90.83630, 42.14720)   BPZ = 1.852 [1.196--1.988]   type = 11.00 (SB11_A_0_l)   stellarity = 0.99   chisq2 = 80.33   ODDS = 0.57   z_cluster = 0.228