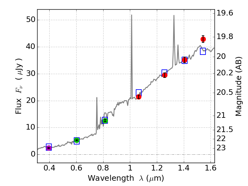
RXS0603+42-S ACS+IR detection object #7201

Color images and BPZ results
Catalog: 7201.cat
Black segments are analyzed here.   Roll mouse over color images to view segments.
Best viewed in a wide browser window (1200 pixels or more).   Download SED & P(z) plots to view larger versions.
In P(z) plots: Yellow lines mark the cluster redshift z = 0.228,  

Object #7201   x,y = (2211, 1552)   RA, Dec = (06:03:27.984, 42:08:59.28) = (90.86660, 42.14980)   BPZ = 1.017 [0.956--1.096]   type = 6.80 (Scd_B10 - Sbc_B10)   stellarity = 0.00   chisq2 = 0.75   ODDS = 0.97   z_cluster = 0.228