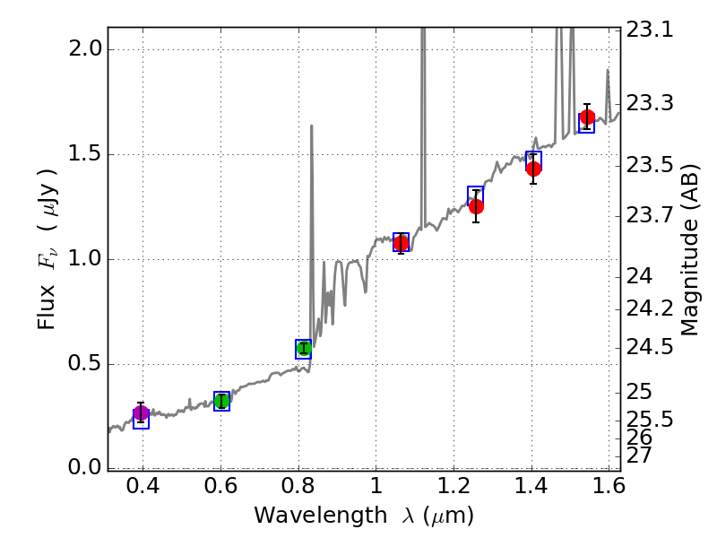
RXS0603+42-S ACS+IR detection object #7161

Color images and BPZ results
Catalog: 7161.cat
Black segments are analyzed here.   Roll mouse over color images to view segments.
Best viewed in a wide browser window (1200 pixels or more).   Download SED & P(z) plots to view larger versions.
In P(z) plots: Yellow lines mark the cluster redshift z = 0.228,  

Object #7161   x,y = (1822, 2461)   RA, Dec = (06:03:30.072, 42:09:54.00) = (90.87530, 42.16500)   BPZ = 1.237 [1.126--1.441]   type = 7.80 (SB1_B10 - Scd_B10)   stellarity = 0.00   chisq2 = 0.09   ODDS = 0.75   z_cluster = 0.228