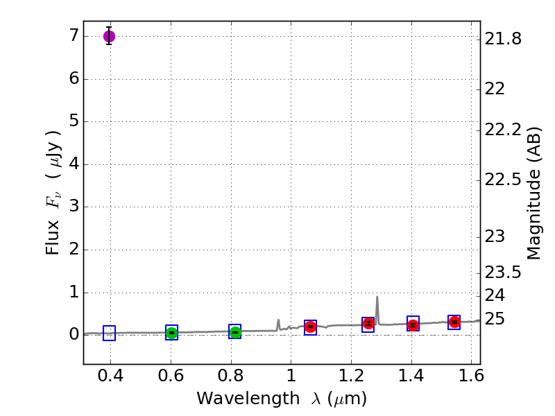
RXS0603+42-S ACS+IR detection object #7137

Color images and BPZ results
Catalog: 7137.cat
Black segments are analyzed here.   Roll mouse over color images to view segments.
Best viewed in a wide browser window (1200 pixels or more).   Download SED & P(z) plots to view larger versions.
In P(z) plots: Yellow lines mark the cluster redshift z = 0.228,  

Object #7137   x,y = (3670, 1655)   RA, Dec = (06:03:20.112, 42:09:05.76) = (90.83380, 42.15160)   BPZ = 1.574 [1.291--1.916]   type = 7.80 (SB1_B10 - Scd_B10)   stellarity = 0.91   chisq2 = 277.90   ODDS = 0.51   z_cluster = 0.228