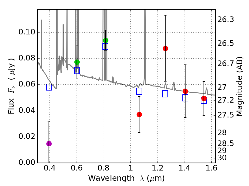
RXS0603+42-S ACS+IR detection object #6785

Color images and BPZ results
Catalog: 6785.cat
Black segments are analyzed here.   Roll mouse over color images to view segments.
Best viewed in a wide browser window (1200 pixels or more).   Download SED & P(z) plots to view larger versions.
In P(z) plots: Yellow lines mark the cluster redshift z = 0.228,  

Object #6785   x,y = (2421, 1778)   RA, Dec = (06:03:26.856, 42:09:12.96) = (90.86190, 42.15360)   BPZ = 0.216 [0.142--4.071]   type = 10.90 (SB11_A_0_l - SB3_B10)   stellarity = 0.41   chisq2 = 2.44   ODDS = 0.15   z_cluster = 0.228