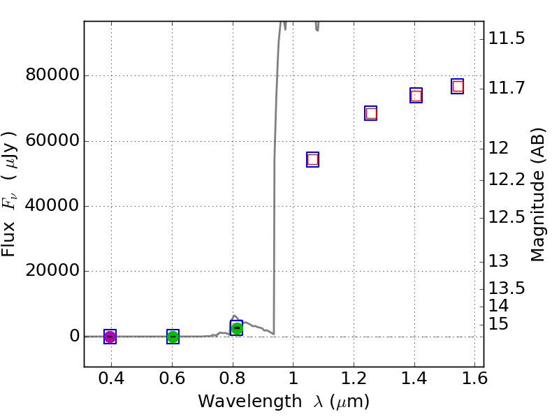
RXS0603+42-S ACS+IR detection object #5979

Color images and BPZ results
Catalog: 5979.cat
Black segments are analyzed here.   Roll mouse over color images to view segments.
Best viewed in a wide browser window (1200 pixels or more).   Download SED & P(z) plots to view larger versions.
In P(z) plots: Yellow lines mark the cluster redshift z = 0.228,  

Object #5979   x,y = (3839, 2378)   RA, Dec = (06:03:19.200, 42:09:48.96) = (90.83000, 42.16360)   BPZ = 6.709 [6.691--6.778]   type = 8.40 (SB1_B10 - SB2_B10)   stellarity = 1.00   chisq2 = 0.00   ODDS = 1.00   z_cluster = 0.228