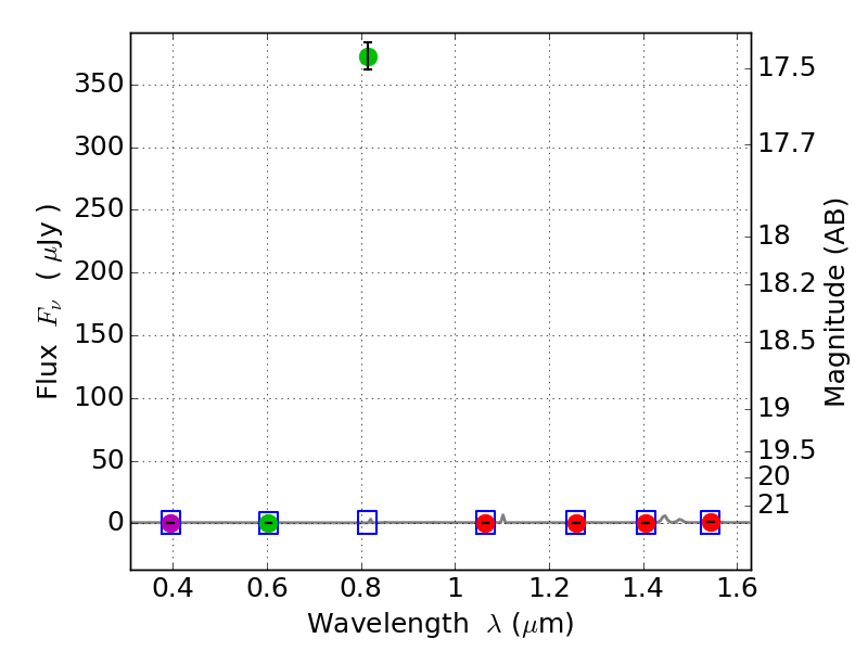
RXS0603+42-S ACS+IR detection object #5732

Color images and BPZ results
Catalog: 5732.cat
Black segments are analyzed here.   Roll mouse over color images to view segments.
Best viewed in a wide browser window (1200 pixels or more).   Download SED & P(z) plots to view larger versions.
In P(z) plots: Yellow lines mark the cluster redshift z = 0.228,  

Object #5732   x,y = (3615, 2316)   RA, Dec = (06:03:20.400, 42:09:45.36) = (90.83500, 42.16260)   BPZ = 1.202 [1.156--1.407]   type = 10.20 (SB3_B10 - SB11_A_0_l)   stellarity = 1.00   chisq2 = 287.70   ODDS = 0.69   z_cluster = 0.228