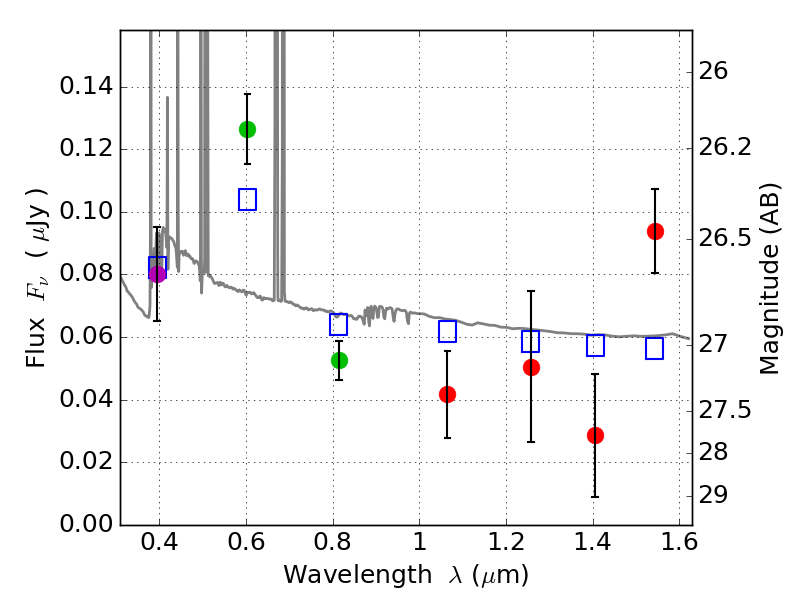
RXS0603+42-S ACS+IR detection object #5648

Color images and BPZ results
Catalog: 5648.cat
Black segments are analyzed here.   Roll mouse over color images to view segments.
Best viewed in a wide browser window (1200 pixels or more).   Download SED & P(z) plots to view larger versions.
In P(z) plots: Yellow lines mark the cluster redshift z = 0.228,  

Object #5648   x,y = (2259, 2204)   RA, Dec = (06:03:27.720, 42:09:38.52) = (90.86550, 42.16070)   BPZ = 0.025 [0.014--2.807]   type = 11.00 (SB11_A_0_l)   stellarity = 0.66   chisq2 = 3.58   ODDS = 0.22   z_cluster = 0.228