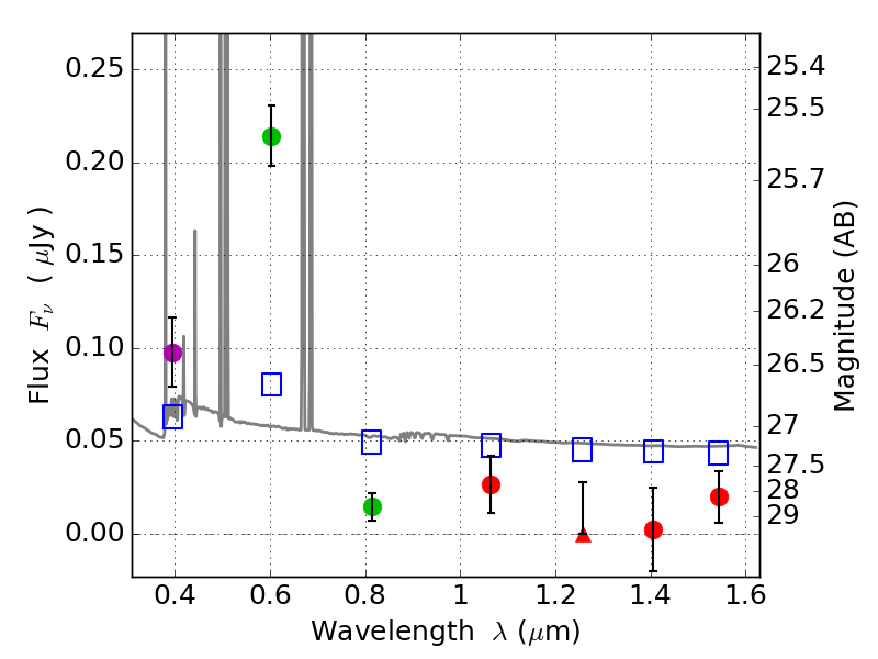
RXS0603+42-S ACS+IR detection object #5199

Color images and BPZ results
Catalog: 5199.cat
Black segments are analyzed here.   Roll mouse over color images to view segments.
Best viewed in a wide browser window (1200 pixels or more).   Download SED & P(z) plots to view larger versions.
In P(z) plots: Yellow lines mark the cluster redshift z = 0.228,  

Object #5199   x,y = (3557, 2396)   RA, Dec = (06:03:20.712, 42:09:50.04) = (90.83630, 42.16390)   BPZ = 0.021 [0.010--0.054]   type = 11.00 (SB11_A_0_l)   stellarity = 0.63   chisq2 = 22.33   ODDS = 0.98   z_cluster = 0.228