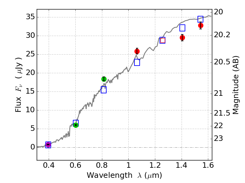
RXS0603+42-S ACS+IR detection object #4120

Color images and BPZ results
Catalog: 4120.cat
Black segments are analyzed here.   Roll mouse over color images to view segments.
Best viewed in a wide browser window (1200 pixels or more).   Download SED & P(z) plots to view larger versions.
In P(z) plots: Yellow lines mark the cluster redshift z = 0.228,  

Object #4120   x,y = (2151, 2883)   RA, Dec = (06:03:28.296, 42:10:19.20) = (90.86790, 42.17200)   BPZ = 0.400 [0.299--0.425]   type = 4.00 (Ell4_A_0)   stellarity = 0.98   chisq2 = 1.57   ODDS = 0.79   z_cluster = 0.228