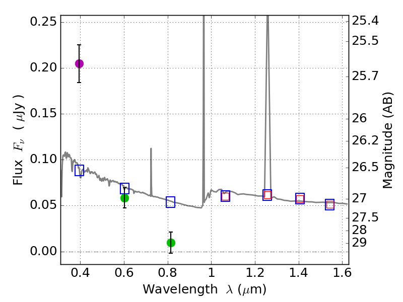
RXS0603+42-S ACS+IR detection object #3795

Color images and BPZ results
Catalog: 3795.cat
Black segments are analyzed here.   Roll mouse over color images to view segments.
Best viewed in a wide browser window (1200 pixels or more).   Download SED & P(z) plots to view larger versions.
In P(z) plots: Yellow lines mark the cluster redshift z = 0.228,  

Object #3795   x,y = (4147, 3018)   RA, Dec = (06:03:17.520, 42:10:27.48) = (90.82300, 42.17430)   BPZ = 1.594 [1.289--2.079]   type = 11.00 (SB11_A_0_l)   stellarity = 0.63   chisq2 = 42.37   ODDS = 0.40   z_cluster = 0.228