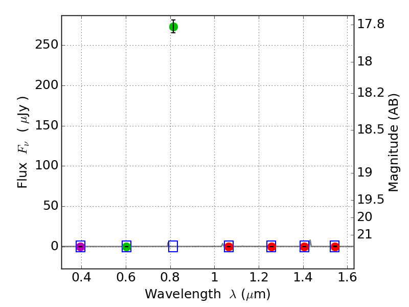
RXS0603+42-S ACS+IR detection object #3698

Color images and BPZ results
Catalog: 3698.cat
Black segments are analyzed here.   Roll mouse over color images to view segments.
Best viewed in a wide browser window (1200 pixels or more).   Download SED & P(z) plots to view larger versions.
In P(z) plots: Yellow lines mark the cluster redshift z = 0.228,  

Object #3698   x,y = (2877, 3241)   RA, Dec = (06:03:24.384, 42:10:40.80) = (90.85160, 42.17800)   BPZ = 0.581 [0.532--0.629]   type = 10.00 (SB3_B10)   stellarity = 1.00   chisq2 = 290.30   ODDS = 0.97   z_cluster = 0.228