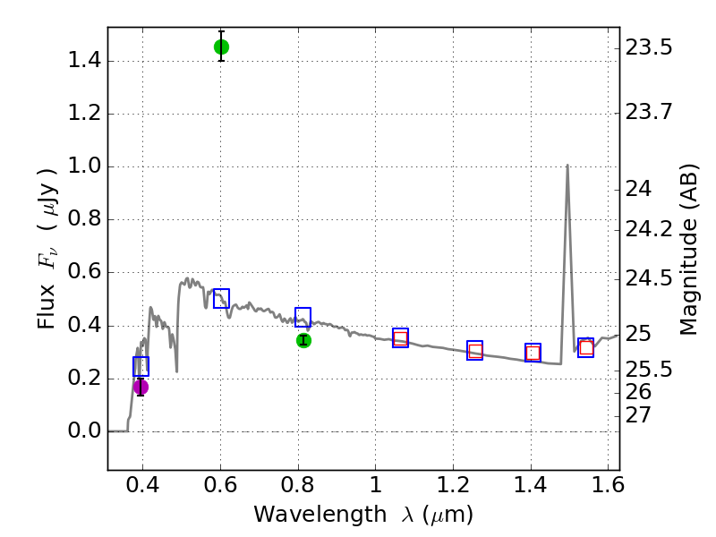
RXS0603+42-S ACS+IR detection object #2983

Color images and BPZ results
Catalog: 2983.cat
Black segments are analyzed here.   Roll mouse over color images to view segments.
Best viewed in a wide browser window (1200 pixels or more).   Download SED & P(z) plots to view larger versions.
In P(z) plots: Yellow lines mark the cluster redshift z = 0.228,  

Object #2983   x,y = (1537, 3342)   RA, Dec = (06:03:31.608, 42:10:46.92) = (90.88170, 42.17970)   BPZ = 3.024 [0.030--3.133]   type = 11.00 (SB11_A_0_l)   stellarity = 0.80   chisq2 = 218.60   ODDS = 0.95   z_cluster = 0.228