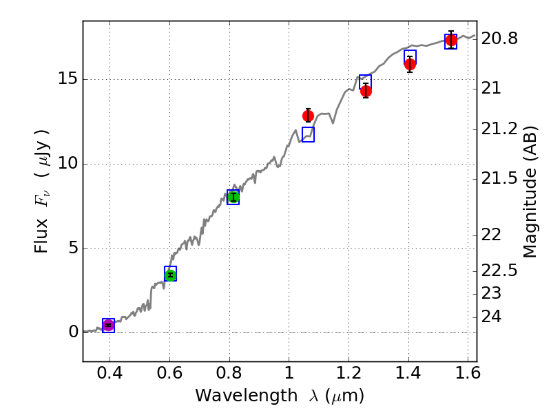
RXS0603+42-S ACS+IR detection object #2819

Color images and BPZ results
Catalog: 2819.cat
Black segments are analyzed here.   Roll mouse over color images to view segments.
Best viewed in a wide browser window (1200 pixels or more).   Download SED & P(z) plots to view larger versions.
In P(z) plots: Yellow lines mark the cluster redshift z = 0.228,  

Object #2819   x,y = (1916, 3337)   RA, Dec = (06:03:29.568, 42:10:46.56) = (90.87320, 42.17960)   BPZ = 0.346 [0.254--0.390]   type = 3.40 (Ell5_A_0 - Ell4_A_0)   stellarity = 0.91   chisq2 = 0.29   ODDS = 0.81   z_cluster = 0.228