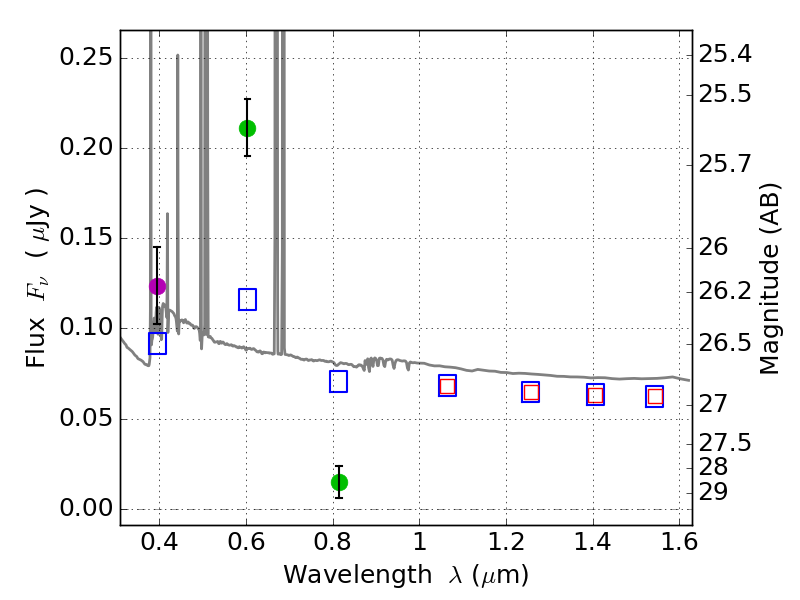
RXS0603+42-S ACS+IR detection object #2722

Color images and BPZ results
Catalog: 2722.cat
Black segments are analyzed here.   Roll mouse over color images to view segments.
Best viewed in a wide browser window (1200 pixels or more).   Download SED & P(z) plots to view larger versions.
In P(z) plots: Yellow lines mark the cluster redshift z = 0.228,  

Object #2722   x,y = (3705, 3484)   RA, Dec = (06:03:19.920, 42:10:55.20) = (90.83300, 42.18200)   BPZ = 0.020 [0.010--1.569]   type = 11.00 (SB11_A_0_l)   stellarity = 0.41   chisq2 = 53.78   ODDS = 0.97   z_cluster = 0.228