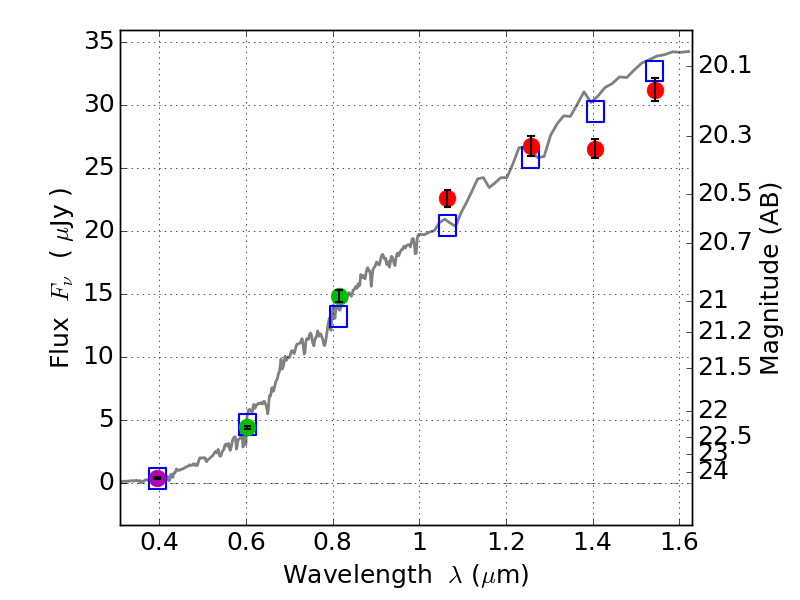
RXS0603+42-S ACS+IR detection object #2660

Color images and BPZ results
Catalog: 2660.cat
Black segments are analyzed here.   Roll mouse over color images to view segments.
Best viewed in a wide browser window (1200 pixels or more).   Download SED & P(z) plots to view larger versions.
In P(z) plots: Yellow lines mark the cluster redshift z = 0.228,  

Object #2660   x,y = (2087, 3498)   RA, Dec = (06:03:28.656, 42:10:56.28) = (90.86940, 42.18230)   BPZ = 0.507 [0.474--0.535]   type = 4.00 (Ell4_A_0)   stellarity = 0.98   chisq2 = 0.89   ODDS = 1.00   z_cluster = 0.228