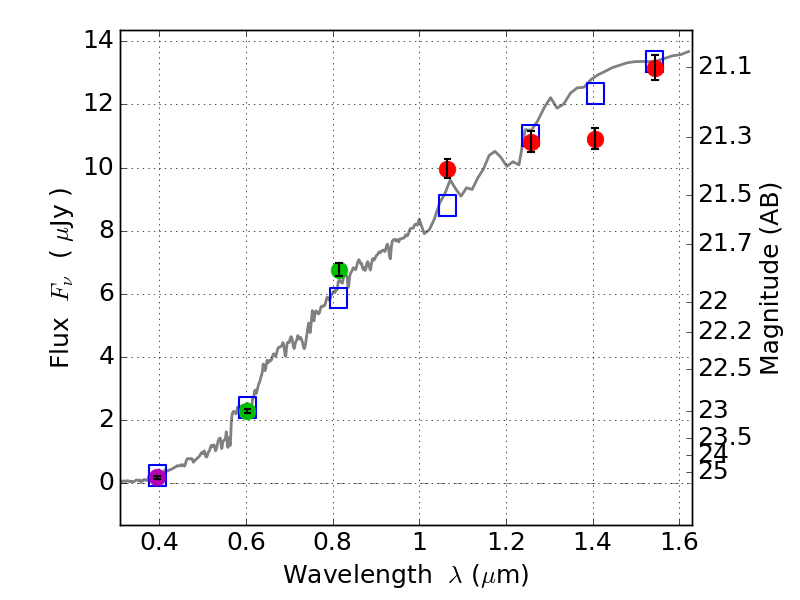
RXS0603+42-S ACS+IR detection object #2655

Color images and BPZ results
Catalog: 2655.cat
Black segments are analyzed here.   Roll mouse over color images to view segments.
Best viewed in a wide browser window (1200 pixels or more).   Download SED & P(z) plots to view larger versions.
In P(z) plots: Yellow lines mark the cluster redshift z = 0.228,  

Object #2655   x,y = (3430, 3506)   RA, Dec = (06:03:21.408, 42:10:56.64) = (90.83920, 42.18240)   BPZ = 0.420 [0.384--4.492]   type = 4.00 (Ell4_A_0)   stellarity = 0.99   chisq2 = 1.22   ODDS = 0.42   z_cluster = 0.228