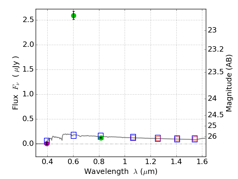
RXS0603+42-S ACS+IR detection object #2058

Color images and BPZ results
Catalog: 2058.cat
Black segments are analyzed here.   Roll mouse over color images to view segments.
Best viewed in a wide browser window (1200 pixels or more).   Download SED & P(z) plots to view larger versions.
In P(z) plots: Yellow lines mark the cluster redshift z = 0.228,  

Object #2058   x,y = (1662, 3674)   RA, Dec = (06:03:30.936, 42:11:06.72) = (90.87890, 42.18520)   BPZ = 3.228 [3.026--3.485]   type = 11.00 (SB11_A_0_l)   stellarity = 0.85   chisq2 = 879.30   ODDS = 0.86   z_cluster = 0.228