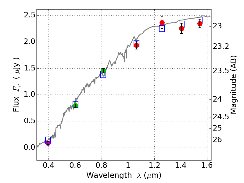
RXS0603+42-N IR detection object #671

Color images and BPZ results
Catalog: 671.cat
Black segments are analyzed here.   Roll mouse over color images to view segments.
Best viewed in a wide browser window (1200 pixels or more).   Download SED & P(z) plots to view larger versions.
In P(z) plots: Yellow lines mark the cluster redshift z = 0.228,  

Object #671   x,y = (4083, 1682)   RA, Dec = (06:03:05.592, 42:14:58.56) = (90.77330, 42.24960)   BPZ = 0.137 [0.074--0.190]   type = 3.90 (Ell4_A_0 - Ell5_A_0)   stellarity = 0.98   chisq2 = 0.25   ODDS = 0.88   z_cluster = 0.228