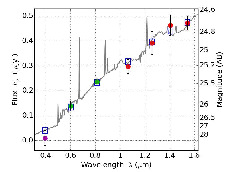
RXS0603+42-N IR detection object #509

Color images and BPZ results
Catalog: 509.cat
Black segments are analyzed here.   Roll mouse over color images to view segments.
Best viewed in a wide browser window (1200 pixels or more).   Download SED & P(z) plots to view larger versions.
In P(z) plots: Yellow lines mark the cluster redshift z = 0.228,  

Object #509   x,y = (1820, 2014)   RA, Dec = (06:03:17.832, 42:15:18.36) = (90.82430, 42.25510)   BPZ = 0.341 [0.130--3.979]   type = 6.80 (Scd_B10 - Sbc_B10)   stellarity = 0.01   chisq2 = 0.25   ODDS = 0.23   z_cluster = 0.228