RXS0603+42-N IR detection object #35

Color images and BPZ results
Catalog: 35.cat
Black segments are analyzed here.   Roll mouse over color images to view segments.
Best viewed in a wide browser window (1200 pixels or more).   Download SED & P(z) plots to view larger versions.
In P(z) plots: Yellow lines mark the cluster redshift z = 0.228,  

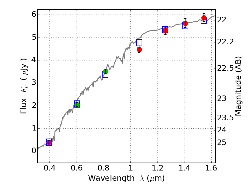
Object #35   x,y = (2716, 2943)   RA, Dec = (06:03:12.984, 42:16:14.16) = (90.80410, 42.27060)   BPZ = 0.098 [0.042--0.172]   type = 3.90 (Ell4_A_0 - Ell5_A_0)   stellarity = 0.03   chisq2 = 0.19   ODDS = 0.85   z_cluster = 0.228