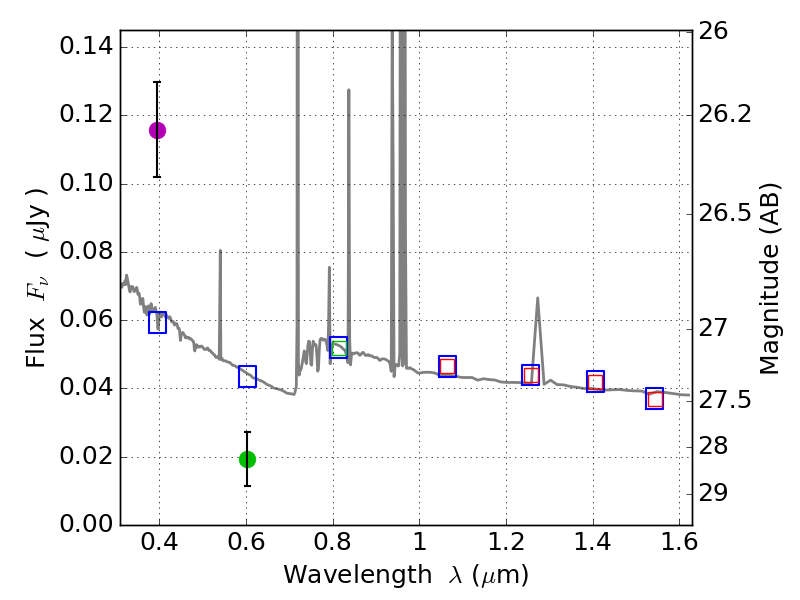
RXS0603+42-N IR detection object #8087

Color images and BPZ results
Catalog: 8087.cat
Black segments are analyzed here.   Roll mouse over color images to view segments.
Best viewed in a wide browser window (1200 pixels or more).   Download SED & P(z) plots to view larger versions.
In P(z) plots: Yellow lines mark the cluster redshift z = 0.228,  

Object #8087   x,y = (3575, 796)   RA, Dec = (06:03:08.352, 42:14:05.28) = (90.78480, 42.23480)   BPZ = 0.931 [0.762--2.112]   type = 11.00 (SB11_A_0_l)   stellarity = 0.08   chisq2 = 22.65   ODDS = 0.19   z_cluster = 0.228