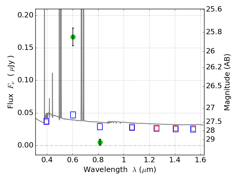
RXS0603+42-N IR detection object #7468

Color images and BPZ results
Catalog: 7468.cat
Black segments are analyzed here.   Roll mouse over color images to view segments.
Best viewed in a wide browser window (1200 pixels or more).   Download SED & P(z) plots to view larger versions.
In P(z) plots: Yellow lines mark the cluster redshift z = 0.228,  

Object #7468   x,y = (1639, 1045)   RA, Dec = (06:03:18.792, 42:14:20.40) = (90.82830, 42.23900)   BPZ = 0.023 [0.011--2.925]   type = 11.00 (SB11_A_0_l)   stellarity = 0.64   chisq2 = 93.15   ODDS = 0.45   z_cluster = 0.228