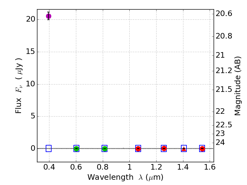
RXS0603+42-N IR detection object #7378

Color images and BPZ results
Catalog: 7378.cat
Black segments are analyzed here.   Roll mouse over color images to view segments.
Best viewed in a wide browser window (1200 pixels or more).   Download SED & P(z) plots to view larger versions.
In P(z) plots: Yellow lines mark the cluster redshift z = 0.228,  

Object #7378   x,y = (1876, 1072)   RA, Dec = (06:03:17.520, 42:14:21.84) = (90.82300, 42.23940)   BPZ = 1.558 [0.370--8.683]   type = 11.00 (SB11_A_0_l)   stellarity = 1.00   chisq2 = 287.10   ODDS = 0.07   z_cluster = 0.228