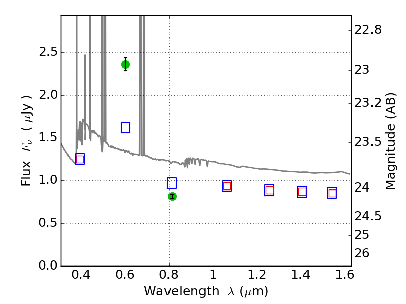
RXS0603+42-N IR detection object #7334

Color images and BPZ results
Catalog: 7334.cat
Black segments are analyzed here.   Roll mouse over color images to view segments.
Best viewed in a wide browser window (1200 pixels or more).   Download SED & P(z) plots to view larger versions.
In P(z) plots: Yellow lines mark the cluster redshift z = 0.228,  

Object #7334   x,y = (1530, 1088)   RA, Dec = (06:03:19.392, 42:14:22.92) = (90.83080, 42.23970)   BPZ = 0.016 [0.010--0.031]   type = 11.00 (SB11_A_0_l)   stellarity = 0.91   chisq2 = 33.38   ODDS = 1.00   z_cluster = 0.228