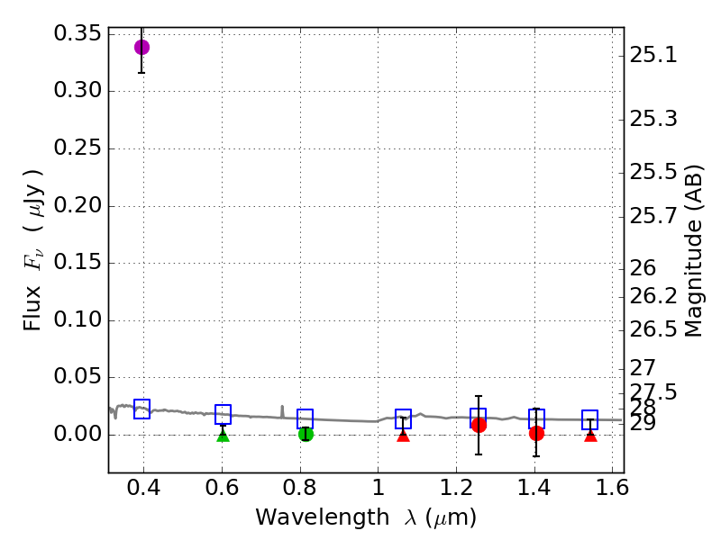
RXS0603+42-N IR detection object #7308

Color images and BPZ results
Catalog: 7308.cat
Black segments are analyzed here.   Roll mouse over color images to view segments.
Best viewed in a wide browser window (1200 pixels or more).   Download SED & P(z) plots to view larger versions.
In P(z) plots: Yellow lines mark the cluster redshift z = 0.228,  

Object #7308   x,y = (1839, 1109)   RA, Dec = (06:03:17.712, 42:14:24.36) = (90.82380, 42.24010)   BPZ = 1.699 [0.770--2.773]   type = 11.00 (SB11_A_0_l)   stellarity = 0.72   chisq2 = 50.69   ODDS = 0.29   z_cluster = 0.228