RXS0603+42-N IR detection object #7289

Color images and BPZ results
Catalog: 7289.cat
Black segments are analyzed here.   Roll mouse over color images to view segments.
Best viewed in a wide browser window (1200 pixels or more).   Download SED & P(z) plots to view larger versions.
In P(z) plots: Yellow lines mark the cluster redshift z = 0.228,  

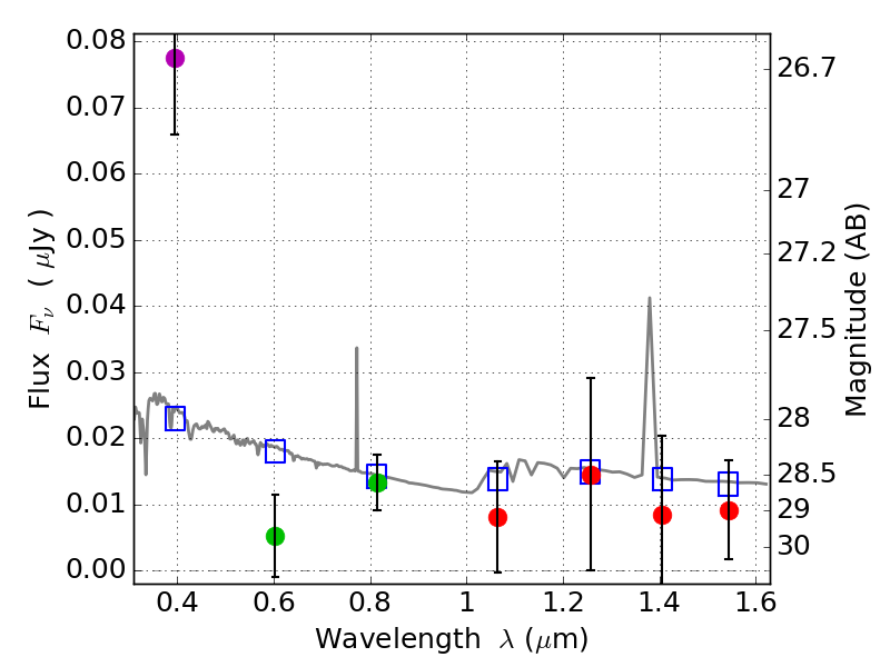
Object #7289   x,y = (2745, 1115)   RA, Dec = (06:03:12.816, 42:14:24.72) = (90.80340, 42.24020)   BPZ = 1.763 [0.532--2.491]   type = 11.00 (SB11_A_0_l)   stellarity = 0.36   chisq2 = 6.56   ODDS = 0.23   z_cluster = 0.228