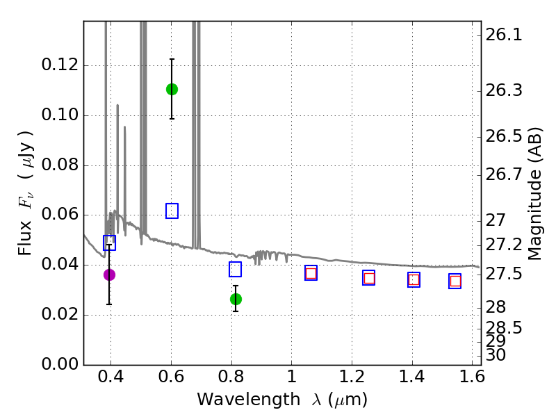
RXS0603+42-N IR detection object #712

Color images and BPZ results
Catalog: 712.cat
Black segments are analyzed here.   Roll mouse over color images to view segments.
Best viewed in a wide browser window (1200 pixels or more).   Download SED & P(z) plots to view larger versions.
In P(z) plots: Yellow lines mark the cluster redshift z = 0.228,  

Object #712   x,y = (2981, 3474)   RA, Dec = (06:03:11.544, 42:16:46.20) = (90.79810, 42.27950)   BPZ = 0.027 [0.013--2.948]   type = 11.00 (SB11_A_0_l)   stellarity = 0.46   chisq2 = 19.10   ODDS = 0.33   z_cluster = 0.228