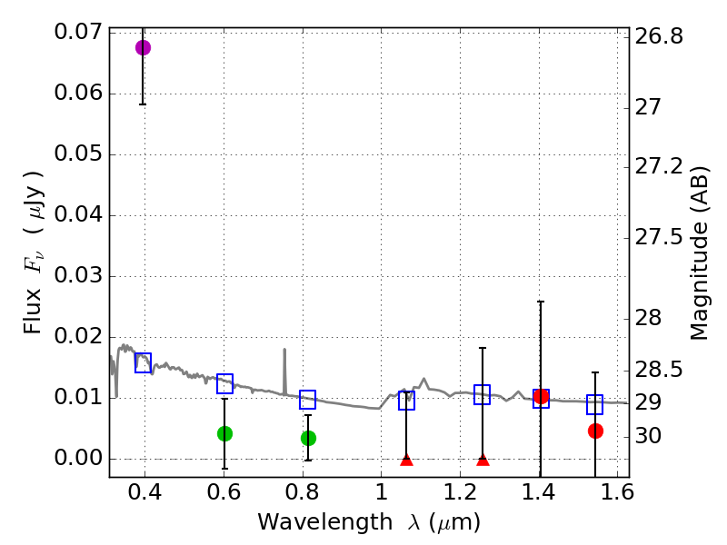
RXS0603+42-N IR detection object #6031

Color images and BPZ results
Catalog: 6031.cat
Black segments are analyzed here.   Roll mouse over color images to view segments.
Best viewed in a wide browser window (1200 pixels or more).   Download SED & P(z) plots to view larger versions.
In P(z) plots: Yellow lines mark the cluster redshift z = 0.228,  

Object #6031   x,y = (1792, 1503)   RA, Dec = (06:03:17.976, 42:14:47.76) = (90.82490, 42.24660)   BPZ = 1.698 [0.654--2.615]   type = 11.00 (SB11_A_0_l)   stellarity = 0.45   chisq2 = 8.79   ODDS = 0.23   z_cluster = 0.228