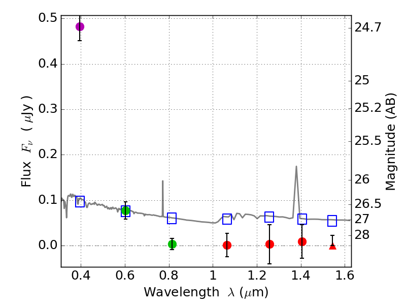
RXS0603+42-N IR detection object #5929

Color images and BPZ results
Catalog: 5929.cat
Black segments are analyzed here.   Roll mouse over color images to view segments.
Best viewed in a wide browser window (1200 pixels or more).   Download SED & P(z) plots to view larger versions.
In P(z) plots: Yellow lines mark the cluster redshift z = 0.228,  

Object #5929   x,y = (3413, 1477)   RA, Dec = (06:03:09.216, 42:14:46.32) = (90.78840, 42.24620)   BPZ = 1.763 [1.541--2.083]   type = 11.00 (SB11_A_0_l)   stellarity = 0.06   chisq2 = 42.94   ODDS = 0.58   z_cluster = 0.228