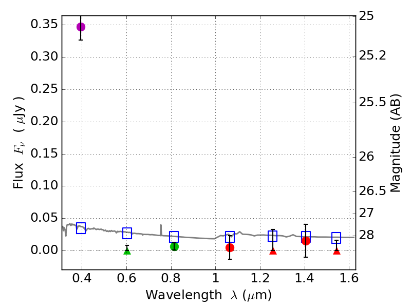
RXS0603+42-N IR detection object #5700

Color images and BPZ results
Catalog: 5700.cat
Black segments are analyzed here.   Roll mouse over color images to view segments.
Best viewed in a wide browser window (1200 pixels or more).   Download SED & P(z) plots to view larger versions.
In P(z) plots: Yellow lines mark the cluster redshift z = 0.228,  

Object #5700   x,y = (4051, 1607)   RA, Dec = (06:03:05.760, 42:14:54.24) = (90.77400, 42.24840)   BPZ = 1.699 [1.112--2.173]   type = 11.00 (SB11_A_0_l)   stellarity = 0.71   chisq2 = 58.55   ODDS = 0.45   z_cluster = 0.228