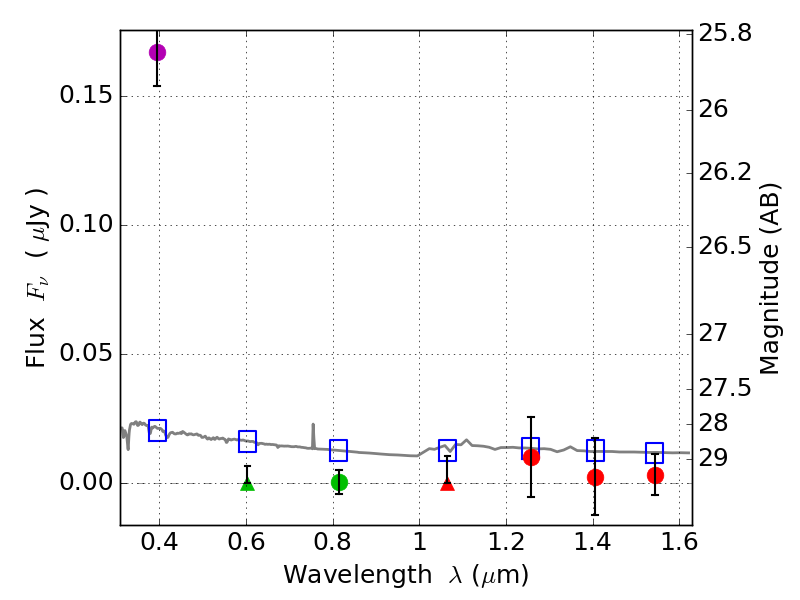
RXS0603+42-N IR detection object #5668

Color images and BPZ results
Catalog: 5668.cat
Black segments are analyzed here.   Roll mouse over color images to view segments.
Best viewed in a wide browser window (1200 pixels or more).   Download SED & P(z) plots to view larger versions.
In P(z) plots: Yellow lines mark the cluster redshift z = 0.228,  

Object #5668   x,y = (3417, 1617)   RA, Dec = (06:03:09.192, 42:14:54.60) = (90.78830, 42.24850)   BPZ = 1.699 [0.957--2.362]   type = 11.00 (SB11_A_0_l)   stellarity = 0.62   chisq2 = 33.16   ODDS = 0.37   z_cluster = 0.228