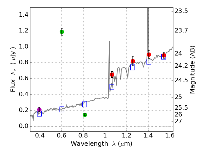
RXS0603+42-N IR detection object #5637

Color images and BPZ results
Catalog: 5637.cat
Black segments are analyzed here.   Roll mouse over color images to view segments.
Best viewed in a wide browser window (1200 pixels or more).   Download SED & P(z) plots to view larger versions.
In P(z) plots: Yellow lines mark the cluster redshift z = 0.228,  

Object #5637   x,y = (3923, 1583)   RA, Dec = (06:03:06.456, 42:14:52.80) = (90.77690, 42.24800)   BPZ = 1.788 [1.579--1.919]   type = 8.10 (SB1_B10 - SB2_B10)   stellarity = 0.82   chisq2 = 48.01   ODDS = 0.63   z_cluster = 0.228