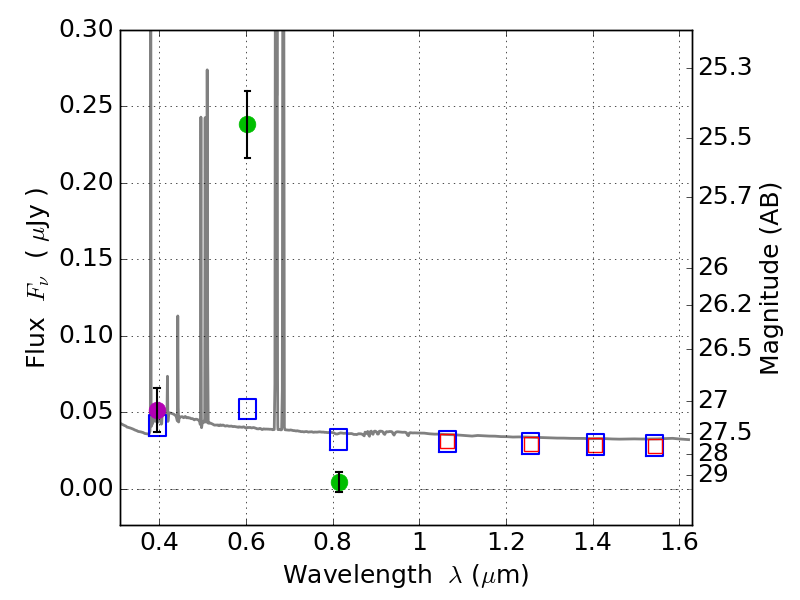
RXS0603+42-N IR detection object #5591

Color images and BPZ results
Catalog: 5591.cat
Black segments are analyzed here.   Roll mouse over color images to view segments.
Best viewed in a wide browser window (1200 pixels or more).   Download SED & P(z) plots to view larger versions.
In P(z) plots: Yellow lines mark the cluster redshift z = 0.228,  

Object #5591   x,y = (4160, 1623)   RA, Dec = (06:03:05.184, 42:14:54.96) = (90.77160, 42.24860)   BPZ = 0.025 [0.025--2.709]   type = 11.00 (SB11_A_0_l)   stellarity = 0.34   chisq2 = 87.35   ODDS = 0.06   z_cluster = 0.228