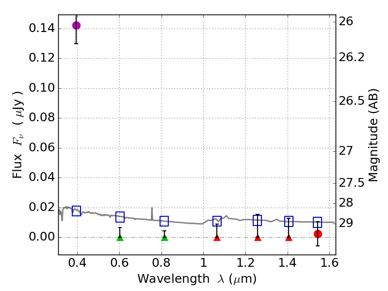
RXS0603+42-N IR detection object #5558

Color images and BPZ results
Catalog: 5558.cat
Black segments are analyzed here.   Roll mouse over color images to view segments.
Best viewed in a wide browser window (1200 pixels or more).   Download SED & P(z) plots to view larger versions.
In P(z) plots: Yellow lines mark the cluster redshift z = 0.228,  

Object #5558   x,y = (3246, 1653)   RA, Dec = (06:03:10.128, 42:14:56.76) = (90.79220, 42.24910)   BPZ = 1.700 [0.797--2.532]   type = 11.00 (SB11_A_0_l)   stellarity = 0.66   chisq2 = 27.85   ODDS = 0.30   z_cluster = 0.228