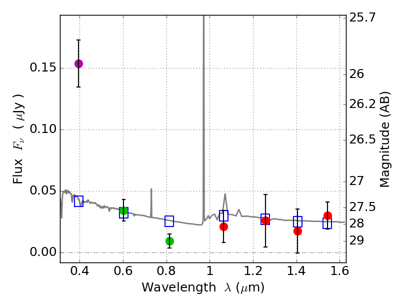
RXS0603+42-N IR detection object #5385

Color images and BPZ results
Catalog: 5385.cat
Black segments are analyzed here.   Roll mouse over color images to view segments.
Best viewed in a wide browser window (1200 pixels or more).   Download SED & P(z) plots to view larger versions.
In P(z) plots: Yellow lines mark the cluster redshift z = 0.228,  

Object #5385   x,y = (3870, 1702)   RA, Dec = (06:03:06.744, 42:14:59.64) = (90.77810, 42.24990)   BPZ = 1.611 [1.250--2.319]   type = 11.00 (SB11_A_0_l)   stellarity = 0.39   chisq2 = 10.24   ODDS = 0.30   z_cluster = 0.228