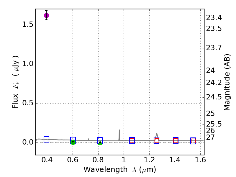
RXS0603+42-N IR detection object #5304

Color images and BPZ results
Catalog: 5304.cat
Black segments are analyzed here.   Roll mouse over color images to view segments.
Best viewed in a wide browser window (1200 pixels or more).   Download SED & P(z) plots to view larger versions.
In P(z) plots: Yellow lines mark the cluster redshift z = 0.228,  

Object #5304   x,y = (1313, 1722)   RA, Dec = (06:03:20.568, 42:15:01.08) = (90.83570, 42.25030)   BPZ = 1.595 [1.011--2.315]   type = 11.00 (SB11_A_0_l)   stellarity = 0.99   chisq2 = 763.60   ODDS = 0.28   z_cluster = 0.228