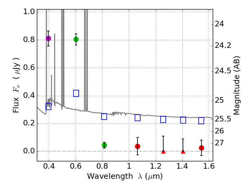
RXS0603+42-N IR detection object #4722

Color images and BPZ results
Catalog: 4722.cat
Black segments are analyzed here.   Roll mouse over color images to view segments.
Best viewed in a wide browser window (1200 pixels or more).   Download SED & P(z) plots to view larger versions.
In P(z) plots: Yellow lines mark the cluster redshift z = 0.228,  

Object #4722   x,y = (4040, 1785)   RA, Dec = (06:03:05.832, 42:15:04.68) = (90.77430, 42.25130)   BPZ = 0.016 [0.010--0.035]   type = 11.00 (SB11_A_0_l)   stellarity = 0.00   chisq2 = 47.57   ODDS = 1.00   z_cluster = 0.228