RXS0603+42-N IR detection object #4573

Color images and BPZ results
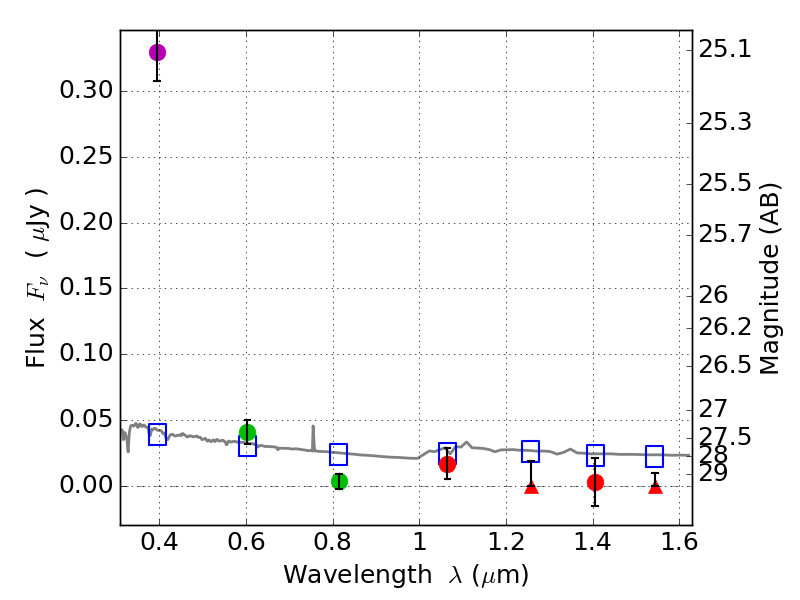
Catalog: 4573.cat
Black segments are analyzed here.   Roll mouse over color images to view segments.
Best viewed in a wide browser window (1200 pixels or more).   Download SED & P(z) plots to view larger versions.
In P(z) plots: Yellow lines mark the cluster redshift z = 0.228,  

Object #4573   x,y = (3240, 1956)   RA, Dec = (06:03:10.152, 42:15:15.12) = (90.79230, 42.25420)   BPZ = 1.702 [1.414--2.187]   type = 11.00 (SB11_A_0_l)   stellarity = 0.73   chisq2 = 45.67   ODDS = 0.56   z_cluster = 0.228