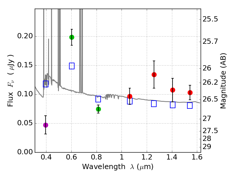
RXS0603+42-N IR detection object #4525

Color images and BPZ results
Catalog: 4525.cat
Black segments are analyzed here.   Roll mouse over color images to view segments.
Best viewed in a wide browser window (1200 pixels or more).   Download SED & P(z) plots to view larger versions.
In P(z) plots: Yellow lines mark the cluster redshift z = 0.228,  

Object #4525   x,y = (3140, 1978)   RA, Dec = (06:03:10.680, 42:15:16.20) = (90.79450, 42.25450)   BPZ = 0.025 [0.013--3.100]   type = 11.00 (SB11_A_0_l)   stellarity = 0.63   chisq2 = 8.09   ODDS = 0.35   z_cluster = 0.228