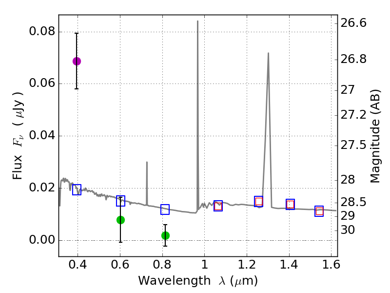
RXS0603+42-N IR detection object #409

Color images and BPZ results
Catalog: 409.cat
Black segments are analyzed here.   Roll mouse over color images to view segments.
Best viewed in a wide browser window (1200 pixels or more).   Download SED & P(z) plots to view larger versions.
In P(z) plots: Yellow lines mark the cluster redshift z = 0.228,  

Object #409   x,y = (2600, 3637)   RA, Dec = (06:03:13.608, 42:16:55.92) = (90.80670, 42.28220)   BPZ = 1.596 [0.739--2.682]   type = 11.00 (SB11_A_0_l)   stellarity = 0.40   chisq2 = 26.86   ODDS = 0.21   z_cluster = 0.228