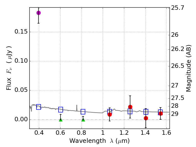
RXS0603+42-N IR detection object #4081

Color images and BPZ results
Catalog: 4081.cat
Black segments are analyzed here.   Roll mouse over color images to view segments.
Best viewed in a wide browser window (1200 pixels or more).   Download SED & P(z) plots to view larger versions.
In P(z) plots: Yellow lines mark the cluster redshift z = 0.228,  

Object #4081   x,y = (2912, 2117)   RA, Dec = (06:03:11.928, 42:15:24.84) = (90.79970, 42.25690)   BPZ = 1.700 [0.635--2.722]   type = 11.00 (SB11_A_0_l)   stellarity = 0.45   chisq2 = 21.57   ODDS = 0.24   z_cluster = 0.228