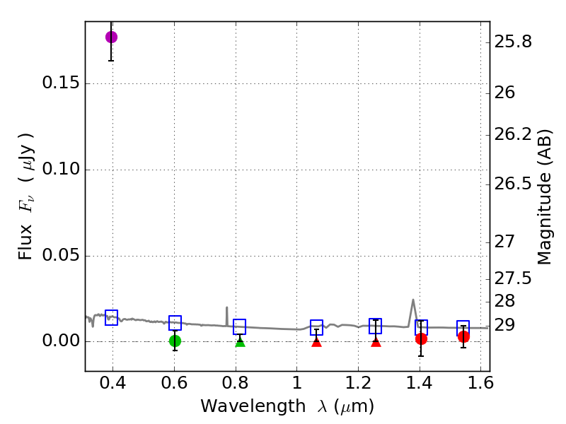
RXS0603+42-N IR detection object #3635

Color images and BPZ results
Catalog: 3635.cat
Black segments are analyzed here.   Roll mouse over color images to view segments.
Best viewed in a wide browser window (1200 pixels or more).   Download SED & P(z) plots to view larger versions.
In P(z) plots: Yellow lines mark the cluster redshift z = 0.228,  

Object #3635   x,y = (2557, 2285)   RA, Dec = (06:03:13.848, 42:15:34.92) = (90.80770, 42.25970)   BPZ = 1.763 [0.608--4.704]   type = 11.00 (SB11_A_0_l)   stellarity = 0.61   chisq2 = 35.22   ODDS = 0.23   z_cluster = 0.228