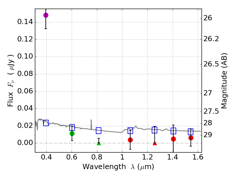
RXS0603+42-N IR detection object #3610

Color images and BPZ results
Catalog: 3610.cat
Black segments are analyzed here.   Roll mouse over color images to view segments.
Best viewed in a wide browser window (1200 pixels or more).   Download SED & P(z) plots to view larger versions.
In P(z) plots: Yellow lines mark the cluster redshift z = 0.228,  

Object #3610   x,y = (1803, 2298)   RA, Dec = (06:03:17.928, 42:15:35.64) = (90.82470, 42.25990)   BPZ = 1.700 [0.745--2.523]   type = 11.00 (SB11_A_0_l)   stellarity = 0.16   chisq2 = 17.19   ODDS = 0.29   z_cluster = 0.228