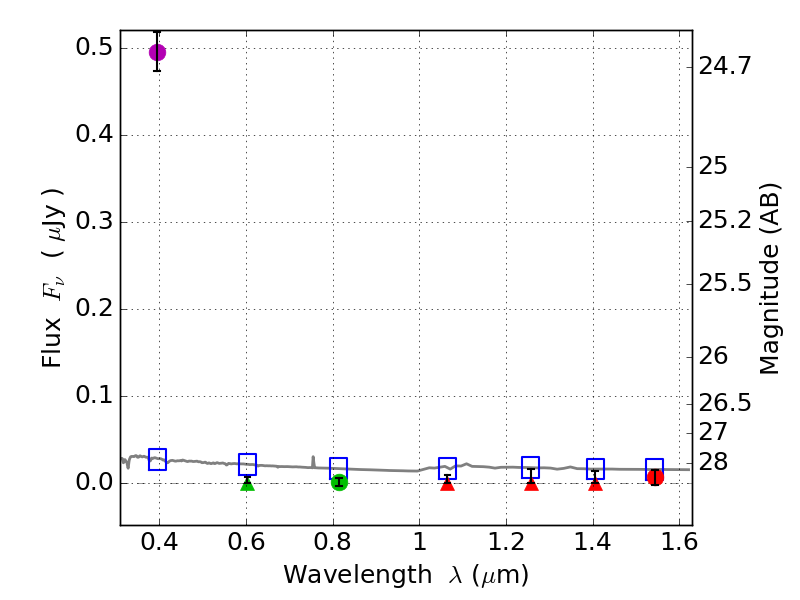
RXS0603+42-N IR detection object #3572

Color images and BPZ results
Catalog: 3572.cat
Black segments are analyzed here.   Roll mouse over color images to view segments.
Best viewed in a wide browser window (1200 pixels or more).   Download SED & P(z) plots to view larger versions.
In P(z) plots: Yellow lines mark the cluster redshift z = 0.228,  

Object #3572   x,y = (2438, 2312)   RA, Dec = (06:03:14.496, 42:15:36.36) = (90.81040, 42.26010)   BPZ = 1.700 [1.236--2.221]   type = 11.00 (SB11_A_0_l)   stellarity = 0.64   chisq2 = 116.50   ODDS = 0.45   z_cluster = 0.228