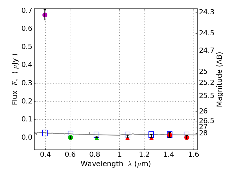
RXS0603+42-N IR detection object #3489

Color images and BPZ results
Catalog: 3489.cat
Black segments are analyzed here.   Roll mouse over color images to view segments.
Best viewed in a wide browser window (1200 pixels or more).   Download SED & P(z) plots to view larger versions.
In P(z) plots: Yellow lines mark the cluster redshift z = 0.228,  

Object #3489   x,y = (2257, 2419)   RA, Dec = (06:03:15.456, 42:15:42.84) = (90.81440, 42.26190)   BPZ = 1.698 [1.071--2.287]   type = 11.00 (SB11_A_0_l)   stellarity = 0.67   chisq2 = 136.70   ODDS = 0.42   z_cluster = 0.228