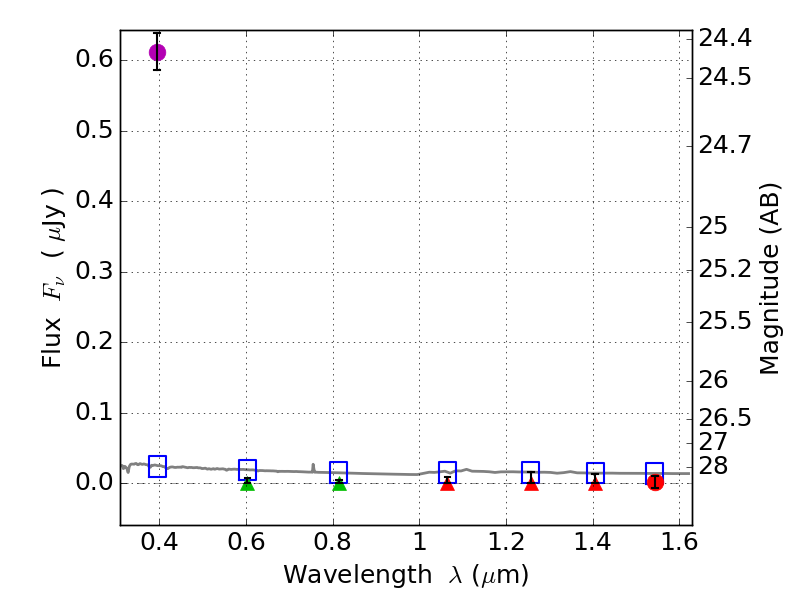
RXS0603+42-N IR detection object #3451

Color images and BPZ results
Catalog: 3451.cat
Black segments are analyzed here.   Roll mouse over color images to view segments.
Best viewed in a wide browser window (1200 pixels or more).   Download SED & P(z) plots to view larger versions.
In P(z) plots: Yellow lines mark the cluster redshift z = 0.228,  

Object #3451   x,y = (2351, 2350)   RA, Dec = (06:03:14.952, 42:15:38.52) = (90.81230, 42.26070)   BPZ = 1.700 [1.084--2.287]   type = 11.00 (SB11_A_0_l)   stellarity = 0.74   chisq2 = 136.40   ODDS = 0.42   z_cluster = 0.228